Магнитные треки- Главная
- Управление освещением
- Maytoni CM07-RGBW 01121 RF2.4Gh RGBW контроллер для светодиодных лент 12v (макс. нагрузка 72Вт) и 24V (макс. нагрузка 144Вт), работает с пультами RM05-RGB/RGBW, RM06RGB/RGBW, RM10-RGB/RGBW
Maytoni CM07-RGBW 01121 RF2.4Gh RGBW контроллер для светодиодных лент 12v (макс. нагрузка 72Вт) и 24V (макс. нагрузка 144Вт), работает с пультами RM05-RGB/RGBW, RM06RGB/RGBW, RM10-RGB/RGBW
Характеристики
| Код ТНВЭД | 8542319090 |
| Устройство управления | Контроллер RF 2.4G (или пульт) |
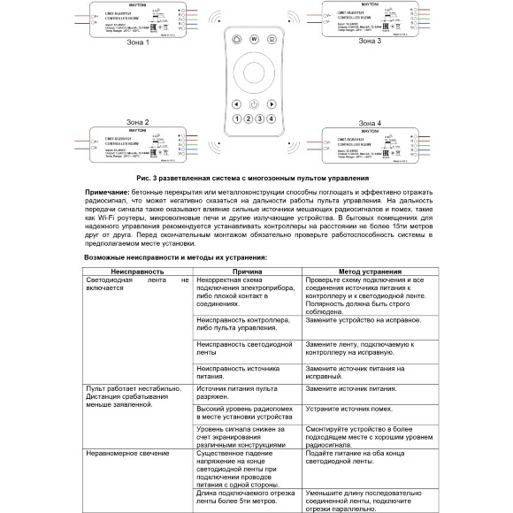
| Инструкции, схемы, 3D модели | |
| Каталог | Информация из PDF каталога для 1121 |
| Производитель, серия, стиль, гарантия | |
| Бренд | Maytoni |
| Артикул | 01121 |
| Светотехнические параметры | |
| Серия | Контроллер RF2.4G |
| Мощность | 144 |
| Рабочее напряжение (Вольт) | 24В (безопасное напряжение), 12В (низковольтное питание) |
Защита IP
Ingress Protection Rating (в переводе с английского языка — степень защиты от проникновения) — система классификации степеней защиты оболочки электрооборудования и других устройств от проникновения твёрдых предметов, пыли и воды в соответствии с международным стандартом IEC 60529 (DIN 40050, ГОСТ 14254) Для жилых помещений не требуется специальная защита. Подойдет светильник с любым данным параметром. Для ванных комнат и любых других влажных помещений - рекомендуется параметр не ниже IP23 Для помещений с повышенной влажностью или при возможном прямом попадании воды на светильник - рекомендуется параметр не ниже IP44 Для уличного использования - рекомендуется параметр не ниже IP44 для настенных и потолочных светильников. И не ниже IP65 для наземных светильников с возможным временным погружением под воду. Для специальных случаев, например для подсветки бассейнов, рекомендуются светильники параметром IP65 или IP67. А для подводного монтажа с IP68 или IP69. | 20 (для сухих пом.) |
| Функции | |
| Функции | Управление пультом ДУ, RF 2.4 ГГц (ИК) |
| Материалы и цвет | |
| Гарантия | 3 года |
| Материал основания | пластик |
| Цвет основания | Белый |
| Размеры и вес | |
| Высота | 64 мм |
| Длина | 8.5 мм |
| Ширина | 23.5 мм |
| Длина коробки см | 12 см |
| Ширина коробки см | 9.5 см |
| Высота коробки см | 2 см |
| Прочее | |
| Штрихкод | 4099776004448 |
| Материал корпуса | пластик |
| Материал плафона или рассеивателя | Пластик |
| Цвет корпуса | Белый |
| Цвет плафона или рассеивателя | Белый |
Обзор

Контроллер для светодиодной ленты RGBW 72Вт/144Вт 01121 от Maytoni — компактное решение для управления многоцветным освещением. С его помощью вы легко настроите яркость, оттенки белого или динамические эффекты, создавая нужную атмосферу в интерьере.
Корпус из белого пластика толщиной 23.5 мм гармонично впишется в любую систему подсветки. Несмотря на малые габариты (8.5 мм в длину и 64 мм в высоту), устройство справляется с нагрузкой до 144 Вт, поддерживая до 12А тока. Работает от 12 или 24 В — подходит для большинства LED-лент.
- Универсальность: совместим с RGBW-лентами для плавных переходов между 16 млн оттенков.
- Надёжность: защита от перегрузок и трёхлетняя гарантия.
- Простой монтаж: класс IP20 позволяет использовать в сухих помещениях.
Идеален для подсветки кухонных гарнитуров, ниш или мебели. В серии «Контроллеры для светодиодной ленты» Maytoni сочетает функциональность и лаконичный дизайн — ваш свет станет умнее без лишних проводов.
Maytoni CM07-RGBW 01121 RF2.4Gh RGBW контроллер для светодиодных лент 12v (макс. нагрузка 72Вт) и 24V (макс. нагрузка 144Вт), работает с пультами RM05-RGB/RGBW, RM06RGB/RGBW, RM10-RGB/RGBW отзывы
Средняя оценка покупателей:(0)
| 0 | ||
| 0 | ||
| 0 | ||
| 0 | ||
| 0 |




























































